투과성 원형 파일의 일렬 배열과 파의 상호작용

Wave Interaction with an In-Line Array of Cylindrical Porous Piles

Article information

J Korean Soc Coast Ocean Eng. 2025;37(4):141-151
Publication date (electronic) : 2025 August 31
doi : https://doi.org/10.9765/KSCOE.2025.37.4.141
*Ph.D. Candidate, Faculty of Earth and Marine Convergence, Major of Ocean System Engineering, Jeju National University
**Professor, Dept. of Ocean System Engineering, Jeju National University
한현주*, 조일형,**
*제주대학교 지구해양융합학부 해양시스템공학전공 박사과정
**제주대학교 해양시스템공학과 교수
Corresponding author: Il Hyoung Cho, Professor, Dept. of Ocean System Engineering, Jeju National University, 102, Jejudaehak-ro, Jeju-si, Jeju-do 63243, Korea. Tel:+82-64-754-3482, cho0904@jejunu.ac.kr
Received 2025 July 31; Accepted 2025 August 16.

Abstract

본 연구에서는 투과성 원형 파일을 일렬로 배열하여 만든 파일 방파제와 파의 상호작용을 평가할 수 있는 해석 모델을 개발하고 모형 실험을 통하여 이를 검증하였다. 해석 모델은 선형포텐셜 이론에 기반한 고유함수전개법을 사용하였으며, 이를 검증하기 위한 모형 실험은 일정한 공극률을 가진 투과성 원형 파일 2개를 2차원 조파수조의 폭방향으로 배치하여 실험 모델 전면에서의 파의 증폭비와 파일의 안과 밖 특정 위치에서의 파압을 측정하여 해석해와 비교하였다. 투과성 파일 방파제는 일부 파를 통과시켜 해수교환이 가능하며 또한 투과성 재질을 통한 에너지 손실 효과로 처올림 파와 반사파 그리고 파랑 하중을 줄이는 등 여러 장점들을 확인하였다. 개발된 해석 모델은 설계 인자들의 범위를 줄일 수 있어 투과성 파일 방파제의 초기 설계에 귀중한 정보를 제공할 수 있을 것이다.

Trans Abstract

In this study, the analytical model was developed to evaluate the performance of a pile breakwater made by an in-line array of cylindrical porous piles, and it was validated through model experiments. The analytical model employed the eigenfunction expansion method based on linear potential theory. For validation, the model experiment was conducted by placing two cylindrical porous piles with a porosity of 0.1 in a twodimensional wave flume. The wave amplification ratio at the front of the experimental model, as well as the wave run-up and wave pressure at specific locations inside and outside the piles, were measured and compared with the analytical results. This study showed several merits of the perforated pile breakwater, such as allowing permissible wave transmission to enable seawater exchange and reducing wave run-up, reflected waves, and wave loads due to energy loss through the porous material. The developed analytical model can reduce the range of design parameters, thereby providing valuable information for the initial design of a perforated pile breakwater.

1. 서 론

육지와 바다가 만나는 연안역 개발을 위해서는 지속적인 환경 하중인 파랑과 흐름으로부터 연안시설물을 보호하여야 한다. 최근 지구 온난화에 따른 기후변화로 인해 연안으로 내습하는 파랑의 강도가 점점 높아지고 있어 이에 대한 대비책이 필요하다. 연안시설물을 보호하고 소중한 해양 공간을 효율적으로 활용하기 위하여 파랑을 제어할 수 있는 방파제와 같은 파랑제어구조물 개발이 필수적이다. 초기의 대부분 방파제는 파의 차단에만 중점을 두어 안정적인 정온 수역을 확보하는데는 크게 기여하였지만, 파랑뿐만 아니라 해수의 흐름을 완전히 차단하여 연안 오염을 가속시키는 부작용을 낳기도 하였다. 이러한 이유로 정온도 확보와 동시에 연안 환경을 보호할 수 있는 해수교환 방파제가 차세대 방파제로 주목을 받고 있다.

커튼월(curtain wall) 방파제의 문제점을 보완하기 위한 최초의 연구로, Nagai(1966)는 불투과성 원형 파일을 일정 간격으로 일렬 배열한 파일 방파제에 수직 입사하는 파랑에 대해 기존 불투과성 커튼월 방파제와 비교하였다. 파일의 단면 형상 및 크기, 잠긴 깊이, 파일 사이의 간격 등 다양한 설계 변수에 따라 파의 반사 및 투과 정도가 달라진다는 것을 실험을 통하여 확인하였다. Kakuno and Liu(1993)Kakuno and Nakata(1998)은 정합점근전개법(matched asymptotic expansion method)을 사용하여 파일 방파제에 의한 반사율과 투과율을 계산하였다. Cho(2003)은 안벽 앞에 일정한 간격과 깊이로 잠긴 사각 파일들로 구성된 투과성 벽에 의한 반사율과 파랑 하중을 고유함수전개법(eigenfunction expansion method)을 이용하여 해석하였으며, Zhu and Chwang(2001)의 모형 실험결과와 비교하였다. Yoon et al.(2006)은 FLUENT 상용코드를 사용하여 사각 파일 방파제에 대한 에너지 손실계를 구하고 Fugazza and Natale(1992)의 해석 모델에 적용하여 에너지 손실을 고려한 반사율과 투과율을 구하였다. Cho and Koh(2007)은 FLUENT 상용코드를 사용하여 원형 단면에 대한 에너지 손실계수를 구하고 등가선형화(equivalent linearization) 기법을 도입하여 원형 파일 방파제에 대한 반사율과 투과율을 구하였다. Suh et al.(2011)은 사각 파일 방파제 모델에 대한 축적된 실험 데이터를 기반으로 마찰계수에 대한 경험식을 공극률과 슬릿 두께의 함수로 나타내어 사각 파일 방파제에 의한 에너지 손실을 구하였다. 파일 방파제의 성능에 영향을 미치는 주요 인자들에 대한 연구도 활발히 진행되었다. Nejadkazem and Gharabaghi(2012)는 불투과성 원형 파일을 일정한 간격으로 배열하였을 때 수직 입사하는 일방향 불규칙파에 대하여 파일 방파제의 파 차단 성능을 고유함수전개법(eigenfunction expansion method)을 이용한 간단한 해석 모델을 통하여 살펴보았다. 파가 촘촘히 배열된 파일의 축소된 공간을 통과하면서 발생하는 박리에 의한 에너지 손실이 파일의 간격과 직경의 비로 정의되는 공극률의 범위가 0.1~0.2일 때 가장 크다고 밝혔다. Koraim(2015)은 반잠수식 케이슨 구조물을 지지하기 위해 구조물 양 측면에 설치한 파일 방파제에 수직 입사하는 규칙파에 대해 투과율과 반사율 그리고 에너지 손실계수를 다양한 파랑 특성과 파일 방파제의 여러 설계 인자들을 바꿔가면서 구하였고 해석 모델을 검증하기 위하여 모형 실험을 함께 수행하였다. 또한 Mojtahedi et al.(2020)는 단면이 사각형과 원형인 파일 방파제에 대한 반사율을 규칙파 및 불규칙파 조건하에서 서로 비교하였으며, 사각형 단면이 원형 단면보다 더 큰 반사율을 보임을 확인하였다.

불투과성 원형 파일 방파제는 파일의 배열 간격을 바꿔 반사율과 투과율을 조절할 수 있다는 장점이 있는 반면에 설치 공간의 제약으로 최적의 파일 배치를 구현하는데 어려움이 있다. 따라서 기존의 불투과성 파일 방파제의 한계를 극복하고 해수교환을 통한 연안 환경보호와 동시에 경제성을 확보하기 위하여 투과성 파일을 일렬 배열하여 만든 투과성 유공 파일 방파제가 대안으로 떠오르고 있다. 투과성 재질로 만든 방파제의 장점은 상대적으로 낮은 건설 비용, 해수교환으로 수중 생태계 교란 감소, 그리고 반사파, 월파, 파랑 하중의 감소 등이다. Anuar and Sidek(2010, 2012)는 투과성 원형 파일을 1열 및 2열 배열한 파일 방파제 모델을 대상으로, 4 종류의 공극률과 다양한 수심 변화에 따른 투과율을 체계적인 모형 실험을 통하여 살펴보았다. Rao et al.(2019)은 2종류의 간격으로 한 줄로 배열된 불/투과성 파일에 수직 입사하는 규칙파에 의한 투과율을 CFD 코드(REEF3D)를 이용하여 계산하였고 실험결과와 비교하였다. 파형 경사가 크고 배열 간격이 좁을수록 투과율은 감소하였고, 투과성 파일 배열에 대한 투과율이 난류와 박리 발생에 따른 에너지 손실로 인해 불투과성 파일 배열과 비교하여 현저히 낮음을 확인하였다. Feichtner et al.(2020)는 CFD 프로그램(OpenFOAM)을 이용하여 두께가 얇은 투과성 파일과 파의 상호작용을 해석할 수 있는 효과적인 수치모델을 제시하였고, 투과성 파일에 작용하는 파랑 하중과 처올림 파의 높이를 실험결과와 비교하여 수치모델이 공학적 목적으로 충분함을 입증하였다. Park(2020)은 기존 단일 투과성 원형 파일 배열로 만든 파일 방파제 안정성 강화를 위하여 파일 내부 중앙에 불투과성 파일을 삽입한 투과성 이중 파일 방파제의 성능을 다양한 변수(배치 형태, 설치 간격 등)에 따라 조사하였다. Han et al.(2024)은 불투과성 원형 파일을 일렬 배열한 파일 방파제의 성능 해석을 위한 해석 모델을 고유함수전개법을 이용하여 개발하였고 이를 검증하기 위하여 2차원 조파수조에서 모형 실험을 병행하였다.

본 연구에서는 Han et al.(2024)의 연구를 확장하여 투과성 원형 파일을 배열하여 만든 해수교환이 가능한 파일 방파제의 성능 해석을 위한 해석 모델 개발과 이를 검증하기 위한 모형 실험을 실시하였다. 무한개의 투과성 파일들을 입사파의 진행방향에 수직으로 일렬로 배열하여 양 끝단에서의 3차원 회절 효과가 나타나지 않은 2차원 모델을 해석 모델로 잡았다. 해석 모델은 선형포텐셜 이론에 기반을 두고 있으며 무한개의 파일 간의 상호작용을 고려하기 위하여 Graf의 Bessel 함수의 덧셈 정리(additional theorem)를 이용하였다. 또한 투과성 재질에 의한 에너지 손실효과를 고려하기 위하여 유체 입자의 법선방향 속도는 투과 경계면 전후의 압력 차와 선형적으로 비례한다는 Darcy의 법칙을 사용하였다. 해석 방법으로 유체영역을 파일의 외부와 내부 영역으로 나누어 각 영역에서 해를 구하고 두 영역이 만나는 경계면에서 해를 정합하여 완전한 해를 구하는 고유함수전개법을 사용하였다. 해석 모델을 검증하기 위하여 2차원 조파수조에서 모형 실험을 규칙파중에서 실시하였다. 모델의 전면 특정 지점에서의 파의 증폭비와 파일의 안과 밖 특정 위치에서의 파압을 측정하였다. 해석 모델을 이용하여 투과성 파일 방파제 성능에 영향을 주는 파의 증폭비, 처올림 파, 파압, 그리고 파랑 하중 등을 파랑 조건과 설계 인자(공극률, 파일간의 간격) 변화에 따라 조사하였다.

2. 해석 모델

수심이 h인 해저 바닥 위에 투과성 원형 파일들이 일렬로 무한개 배열된 2차원 모델을 해석 모델로 잡았다. Fig. 1과 같이 y축 방향으로 놓인 해석 모델에 입사파는 수직하게 들어온다. 중심이 (0, 0)인 1개의 공간 고정 좌표계(r, θ)와 무한개의 원형 파일 중심(0, yj)에 놓인 파일 고정 좌표계(rj, θj)를 도입한다. 파일의 직경은 2a로 모두 동일하며, 파일 사이의 간격은 2b이다.

Fig. 1

Definition sketch of an in-line array of cylindrical porous piles.

유체를 비점성, 비압축성으로, 비회전성 유동으로 가정하면 유체 입자의 운동을 속도포텐셜로 나타낼 수 있다. 선형포텐셜 이론하에 유체 입자가 주파수 ω로 조화 운동을 한다면 공간과 시간을 분리하여 Φ=Reigωη(r,θ)coshK(z+h)coshKheiωt로 쓸 수 있다. 여기서 η는 파형이다. K는 진행파의 파수로 선형분산식(ω2 = gKtanhKh)을 만족한다.

고유함수전개법을 적용하기 위하여 유체영역을 파일의 외부와 내부 영역으로 나누고 외부영역은 윗첨자(O)로 내부영역은 윗첨자(I)로 구분한다. 외부영역의 해(η(O))은 x축 방향으로 진행하는 입사파(ηI)와 무한개의 원형 파일에 의한 산란파(ηSj)의 합으로나타낼 수 있다.

(1) η(O)A=ηI+j=-ηSj=m=-(i)mJm(Kr)eimθ+j=-m=-eimθjAmjZmHm(krj),

여기서 A는 입사파의 진폭이다. Zm = J'm(Ka)/H'm(Ka)이며, 여기서 Jm는 Bessel 함수, Hm는 Hankel 함수, 그리고 윗첨자 '는 미분을 뜻한다.

j번째 파일의 중심(0, yj)에 놓인 파일 고정 좌표계(rj, θj)를 중심이 (0, 0)인 공간 고정 좌표계(r, θ)로 변환하기 위하여 아래와 같은 Graf의 Bessel 함수의 덧셈 정리를 적용한다(Linton and Evans, 1990; Kim, 1993; Maniar and Newman, 1997; Evans and Porter, 1999).

(2) eimθjHm(Krj)=n=-Jn(Kr)Hm+n(KRj0)ei(m+n)αj0ein(π-θ).

투과성 파일이 일정 간격(2b)을 가지고 y축을 따라 일렬로 무한히 배열되었을 때 j번째 파일의 중심과 중앙에 놓인 파일의 중심 (0, 0) 간의 상대 위치를 나타내는 (Rj0, αj0)는 Rj0=yj=2b|j|,αj0={π/2,j>0π/2,j<0이다. 입사각이 0도일 때 무한히 배열된 파일 군에서 식(1) 미지수 Amj는 위치에 관계없이 동일하다. 따라서 윗첨자 j를 생략한다(Amj=Am). 식(2)를 식(1)에 적용하면 아래와 같다.

(3) η(O)A=m=-eimθ[(i)mJm(Kr)+AmZmHm(Kr)]+m=-eimθJm(Kr)j=-j0n=-AnZnHn-m(|j|2Kb)(ei(n-m)π2e-i(n-m)π2),(j>0j<0).

식(3)에서 공간 고정좌표계에서 바라본 전체 파계는 순수한 입사파와 중앙에 위치한 0번째 파일에 의한 산란파, 그리고 0번째 파일을 제외한 나머지 파일들로부터 산란된 파들의 합으로 구성된다.

공간 고정좌표계가 위치한 0번째 파일 내부영역의 파형식은 아래와 같다.

(4) η(I)A=m=-eimθBmJm(Kr).

식(3)에 주어진 외부영역의 해와 식(4)에 주어진 내부영역의 해가 만나는 경계면(r = a, 0 ≤ θ ≤ 2π)에서 Darcy법칙에 기초한 투과성 경계조건식을 만족한다.

(5) η(O)r=η(I)r=iKG(η(I)-η(O)),r=a,0θ2π,

여기서 G는 투과성 재질의 공극률 계수로서 투과성 재질을 통과하면서 발생하는 에너지 손실과 밀접한 관련이 있는 계수이다. Cho and Kim(2008)는 공극률 계수 G와 실제 공극률 P 사이에는 선형 관계(G = 9.172P - 0.155)가 성립함을 모형 실험을 통하여 밝혔다.

식(3)과 (4)를 식(5)에 대입하여 정리하면 미지수 Am에 대한 대수방정식을 얻을 수 있다. 이때 미지수의 개수를 유한개로 하기 위하여 원주방향(θ)의 고유함수의 개수를 2M + 1로 하였다.

(6) WmAm+n=-MMAnZnQn-m(2Kb)=-(i)m,m=-M,,M

여기서 Wm=1+2GπKaJm(Ka)Hm(Ka)이고, Qnm(x)=j=1[(i)nm+(i)nm]Hnm(jx) 이다.

위의 대수방정식을 풀어 미지수 Am, (m = - M, …, M)을 구하면 내부영역에서의 미지수 Bm, (m = - M, …, M)는 투과성 재질 벽에서의 연속조건식(η(O)r=η(I)r)으로부터 아래와 같이 구할 수 있다.

(7) Bm=-2GπKaAmJm(Ka)Hm(Ka),m=-M,,M.

투과성 원형 파일의 바깥과 안쪽 벽면(r = a, 0 ≤ θ ≤ 2π)에서의 처올림 파형식은 식(3)과 (4)로부터 다음과 같다.

(8) η(O)(a,θ)A=m=-MM2AmeimθπKaHm(Ka)[i+GJm(Ka)Jm(Ka)],η(I)(a,θ)A=-m=-MM2AmGJm(Ka)eimθπKaHm(Ka)Jm(Ka).

y축으로 무한개 배열된 파일의 경우 x방향 파랑 하중(Fx(t) = Re{fxe-iωt})은 위치에 관계없이 동일하며 아래와 같다.

(9) fx=-ρgAtanh KhK02π[η(O)(a,θ)-η(I)(a,θ)]cos θdθ=-fs2i(A-1-A1)

여기서 fs(=4ρgAtanhKhK2H1(Ka))은 반경이 a인 단일 파일에 작용하는 파의 진행방향의 파랑 하중을 뜻한다(MacCamy and Fuchs, 1954).

3. 모형 실험

투과성 원형 파일 2개를 입사파의 진행 방향에 수직하게 수조 폭에 맞게 배치하고 모델 전면에서의 파의 증폭비와 파일 벽면 특정 위치에서의 파압을 측정하였다. 모형 실험에 사용된 2차원 수조는 길이 20 m, 폭 0.8 m, 높이 1 m이고, 한쪽 끝에 피스톤 타입 조파장치가 설치되어 있으며, 다른 끝 쪽에는 공극률이 0.1인 투과성 소파판을 설치하여 반사파를 줄이도록 하였다. 조파장치 전면에서 11.4 m 떨어진 위치에 직경과 높이가 40 cm인 투과성 원형 파일 2개를 폭이 80 cm인 수조의 양쪽 벽에 밀착하여 설치하였다. 수조 벽면의 이미지 효과(image effect)로 2개의 원형 파일만으로 파일을 무한개 배열한 해석 모델을 구현할 수 있었다. 스텐레스로 만든 원형 파일은 직경 3 mm의 구멍들이 8 mm 간격으로 배열된 공극률이 0.1인 투과성 재질이다. 불투과성 파일 모델은 별도로 제작하지 않고 투과성 원형 파일 표면에 불투과성 시트지를 붙여 만들었다. 모델 전면 3지점에 파고계를 설치하여 파의 증폭비를 얻음과 동시에 입사파와 반사파를 분리하였다. 또한 원형 파일 표면 특정 위치에서의 파압을 측정하기 위하여 SSK사의 P310 압력센서를 사용하였다. 각 계측센서의 설치 위치와 실험 모델 사진은 Fig. 2에 첨부하였다.

Fig. 2

Schematic diagram of the overall experimental setup and photographs of the installed model and instrumentation.

선형 이론에 기반을 둔 해석 모델과 비교 목적으로 파형 경사(H/λ)를 1/100로 입사파의 파고를 파장에 비해 낮게 유지하였고 입사파의 주기를 0.5~1.9 s 범위 내에서 0.1 s 간격으로 변화시키면서 규칙파 실험을 수행하였다. 모형 전면에 설치한 파고계로부터 얻은 파랑 데이터는 입사파와 모델에 의한 반사파가 섞여 있어 순수한 입사파를 얻기 위하여 3지점에서의 계측된 파랑 데이터를 이용하여 입사파와 반사파를 분리하였다(Mansard and Funke, 1980).

4. 결과 및 고찰

이 장에서는 고유함수전개법을 이용한 해석 모델의 계산 결과와 모형 실험 데이터를 서로 비교하였다. Table 1은 불/투과성 파일 전면부 3지점에서 측정한 파랑 데이터를 입사파와 반사파로 분리하여 얻은 입사 파고와 반사 파고, 반사계수이다. 모형실험에서 얻은 모든 실험 데이터는 입사파/반사파 분리 작업을 통하여 얻은 입사 파고로 나눠 정리하였다. 불투과성 모델의 경우 대부분의 파가 모델 전면에서 반사되는 것을 확인할 수 있는 반면, 투과성 모델의 경우 파 에너지의 일부 분만 반사하며 반사율은 주기에 따라 변하는 것을 볼 수 있다.

Incident wave settings and wave parameters through wave separation

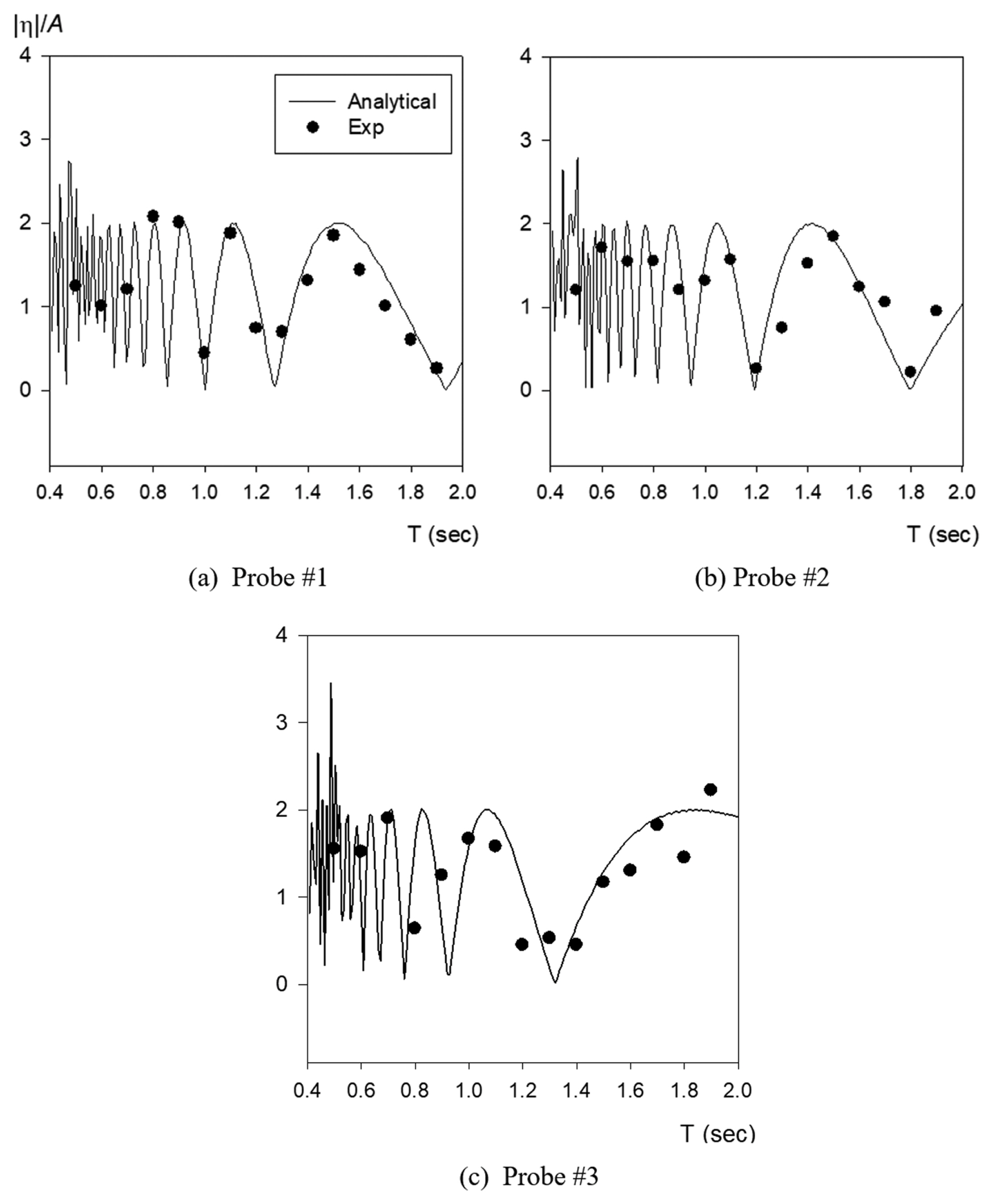
불투과성 모델에 대하여 전면부 3지점에 설치된 파고계로부터 측정한 파의 진폭을 파 분리를 통해 얻은 입사파의 진폭으로 나눈 파의 증폭비(η/A)를 입사파의 주기에 따라 Fig. 3에 나타내었다. 실선은 해석결과이며 기호는 실험결과이다. 단 주기 영역에서의 파의 증폭비의 변동성이 너무 커서 두 결과의 비교가 쉽지 않았지만, 파의 주기가 긴 장주기 영역에서는 해석해와 실험결과는 서로 잘 일치하였다. 장주기파가 입사하였을 때 불투과성 모델 전면에서의 파형은 정상파(standing wave)의 특징인 증폭비 0과 2인 노드(node)점과 엔티노드(anti-node)점 사이에서 진동한다. Fig. 4는 불투과성 파일의 바깥 수면(위치: A, B)에 위치한 압력 센서로 측정한 파압(P=ρgηcoshK(z+h)coshKh)을 ρgA로 무차원화시켜 입사파의 주기에 따라 그린 그래프이다. A는 파일의 돌출부, B는 두 파일이 만나 좁아지는 영역내의 지점이다. B에서 압력값은 좁은 지역안으로 파의 에너지가 중첩되어 A보다 크게 나타났다. 파의 증폭비의 변동이 심했던 단주기 영역, 특히 입사파 주기가 0.5 s 부근에서 파압의 최대치가 관찰되었다. 그러나 주기가 0.6 s로 바뀌면 A지점에서의 파압의 최대값은 크게 줄어들고 B지점에서 파압은 최소값을 보인다.

Fig. 3

Amplification factor (η/A) at wave probes #1, #2, and #3 in front of the impermeable pile model.

Fig. 4

Non-dimensional pressure (|p|/ρgA) at the outer surface (A, B) of the impermeable pile model.

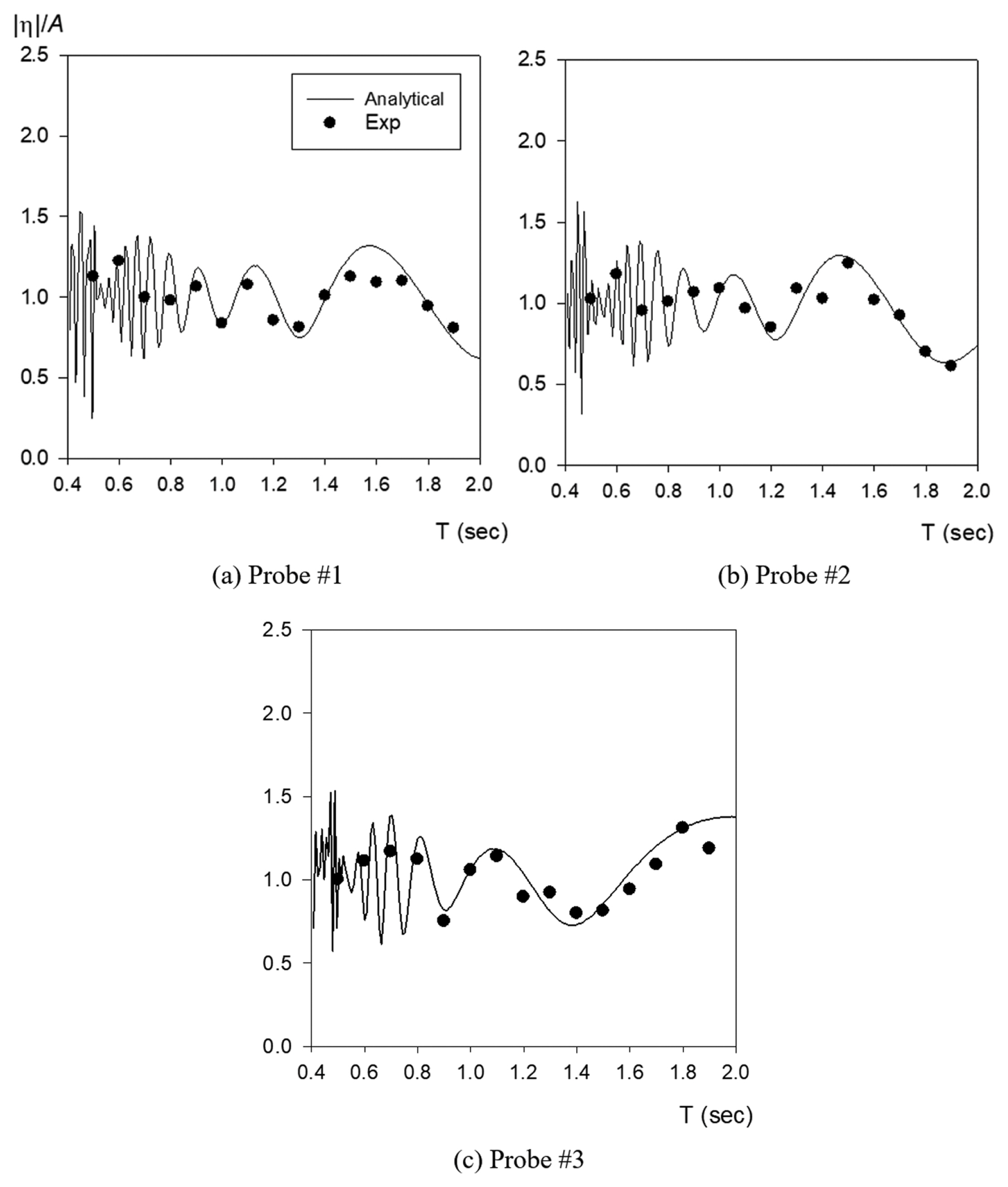
투과성 모델에 대한 해석 및 실험 결과의 비교는 Fig. 5와 6에서 나타내었다. Fig. 5Fig. 6은 각각 모델 전면부 3지점에서 측정한 파의 증폭비와 모델의 바깥쪽(위치 A)과 안쪽(위치 E)에 부착한 압력 센서로 측정한 무차원화된 파압에 대한 그래프이다. 파의 증폭비는 투과성 재질을 통과하면서 발생하는 박리에 의한 에너지 손실과 일부 파의 투과로 불투과성 모델에서 보여준 0과 2사이의 증폭비 범위보다 좁은 0.6에서 1.2 범위 내에서 증폭비의 변동성을 보여주고 있다. 이는 완전 반사가 일어나는 불투과성 모델과 달리 투과성 모델인 경우 에너지 손실과 파의 통과로 모델 전면에서 부분 반사가 일어났기 때문이다. 투과성 모델에 대한 무차원화된 파압 곡선에서 에너지 손실효과로 파압의 최대값이 불투과성 모델과 비교하여 1/3로 줄어들었고, 장주기영역에서 부분 반사의 효과로 무차원화된 파압이 불투과성 모델에 나타난 2.0보다 작은 값에 수렴함을 보여주고 있다. 또한, 투과성 파일 내부에 위치한 E점에서 측정한 압력은 A점에서 측정한 압력보다 다소 낮게 나타나는데 이는 투과성 재질을 통과하면서 생긴 에너지 손실이 반영된 결과라 볼 수 있다.

Fig. 5

Amplification factor (η/A) at wave probes #1, #2, and #3 in front of the porous pile model.

Fig. 6

Non-dimensional pressure (|p|/ρgA) at the surface (A, E) of the porous pile model.

Fig. 3~6에서 살펴보았듯이 해석결과와 실험결과는 비교적 서로 잘 일치하였다. 이는 고유함수전개법을 이용한 현재의 해석 모델의 타당성을 의미한다. 그러나 두 결과의 비교는 파장에 비해 파고가 낮은 선형 조건하에서 이뤄졌기 때문에 입사파의 파고가 증가할 경우 비선형 효과로 인해 정량적인 차이가 발생할 수 있어 비선형성과 점성 효과를 다룰 수 있는 전산유체역학(Computational Fluid Dynamics, CFD) 코드를 이용한 분석이 요구된다. 이러한 한계에도 불구하고 개발된 해석 모델은 투과성 파일 방파제의 성능에 영향을 주는 많은 설계 인자들의 중요성을 파악하고 설계 범위를 제한할 수 있어 초기 설계에 필요한 귀중한 정보를 제공할 수 있을 것이다.

앞에서 검증된 해석 모델을 가지고 Fig. 7과 같이 원형 파일을 간격없이 일렬로 무한히 배열한 해석 모델에 대하여 계산을 수행하였다. 수심은 파일 직경의 5배이고, 공간 고정좌표계의 원점으로부터 x축을 따라 원형 파일 반경의 8배만큼 떨어진 위치(#1, #3)와 파일의 내벽(#2)에서의 파의 증폭비를 계산하여 무차원화된 파장(Ka)에 따라 Fig. 8에 나타내었다. 불투과성 재질(P = 0.0)인 경우 모델 전면에 위치한 #1의 파의 증폭비는 정상파의 특징인 0과 2 사이에서 변화한다. 투과성 재질인 경우, #2와 #3에서의 파의 증폭비는 투과성 파일을 통한 에너지 손실로 불투과성 재질의 결과보다 파의 증폭비가 줄어드는 것을 볼 수 있다. 또한, 투과성 파일 방파제의 파차단 성능을 나타내는 #3 지점에서의 파의 증폭비는 공극률 0.1일 때 크게 줄어들어 일부 파만을 통과시키는 해수교환 방파제의 역할을 충분히 수행한 것으로 보인다. 일반적으로, 투과성 파일 방파제인 경우, 에너지 손실계수(ε = 1 - Rf2 - Tr2가 클수록 반사율(Rf)과 함께 투과율(Tr)도 동시에 줄어들기 때문에 투과성 방파제 성능 향상에 맞는 적절한 공극률을 선택할 필요가 있다. 3개의 공극률의 변화에 따른 #1과 #3 지점의 증폭비의 변화율을 비교한 결과 공극률이 0.1일 때 에너지 손실계수가 가장 크다는 것을 유추할 수 있다. 공극률이 0.1보다 작아지면 투과율은 줄어드나 반사율이 오히려 증가하여 전체적인 손실계수는 증가한다.

Fig. 7

Schematic diagram of an in-line array of cylindrical porous piles and amplification factor measurement locations (h/a = 5, a = b).

Fig. 8

Wave amplification factor (η/A) at positions #1, #2, and #3.

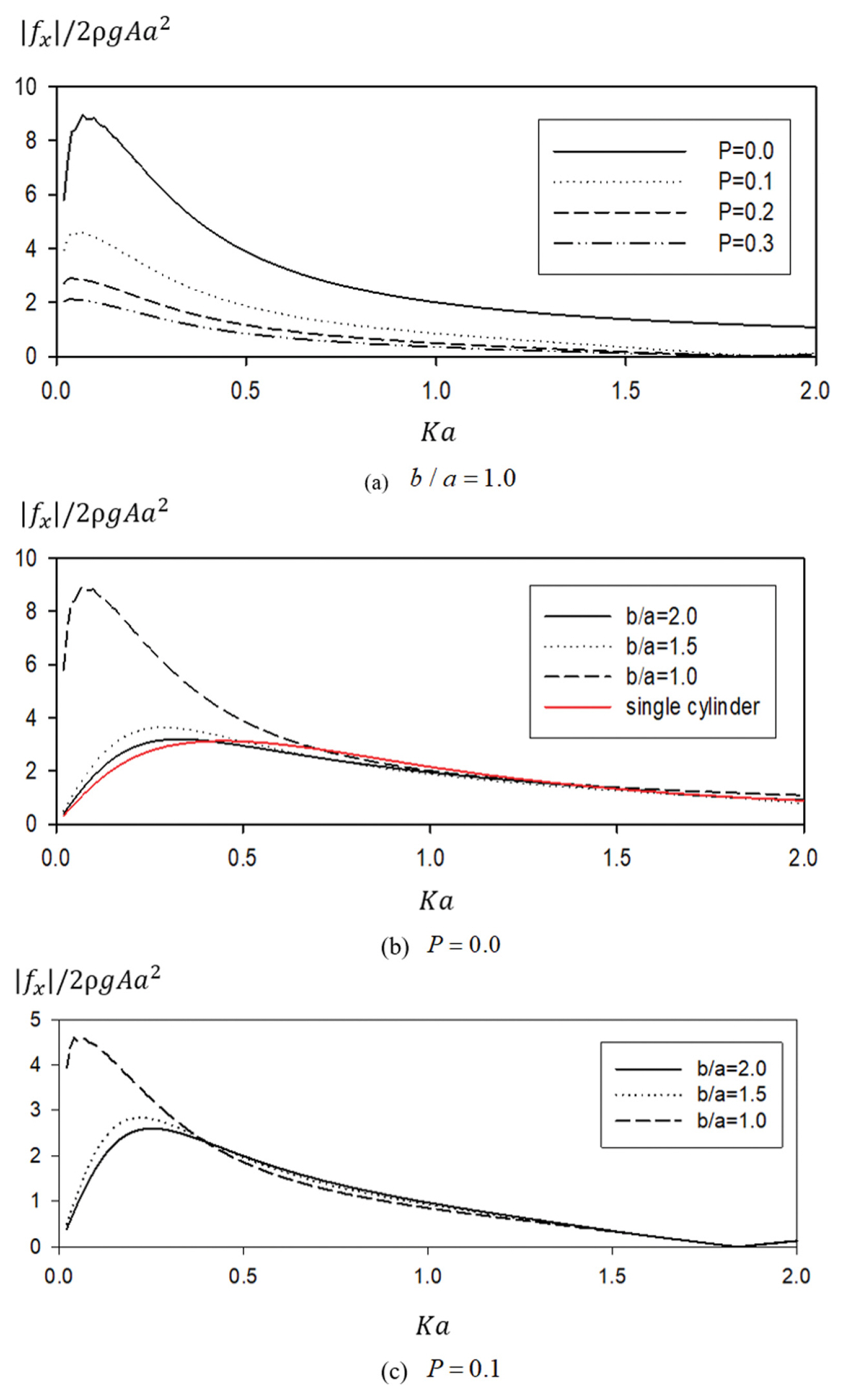
파일 방파제를 구성한 각 원형 파일에 작용하는 파랑 하중의 변화를 공극률과 배열 간격에 따라 살펴보았다. Fig. 9(a)는 무차원화된 파장(Ka) 변화에 따른 무차원화한 x방향의 파랑 하중을 보여주고 있다. 공극률이 줄어들수록, 파장이 길수록 파일에 작용하는 파랑 하중은 증가한다. 공극률이 0.1인 투과성 원형 파일을 배열한 경우, 파랑 하중의 최대값이 불투과성 원형 파일이 받는 파랑 하중의 1/2로 줄어든다. Fig. 9(b)는 불투과성 원형 파일의 배열 간격을 변화시켰을 때, 각 파일이 받는 파랑 하중을 계산하였다. 간격을 넓게 할수록 파일 간의 간섭효과가 줄어들어 단일 원형 파일의 하중을 나타내는 빨간색 실선에 수렴함을 볼 수 있다. 이러한 경향은 투과성 원형 파일에 작용하는 무차원화된 파랑 하중을 나타내는 Fig. 9(c)에서도 확인할 수 있다.

Fig. 9

Non-dimensional wave loads on the impermeable and porous cylindrical pile as function of b/a and P.

Fig. 10에서는 특정 입사파의 파장(Ka = 0.5)에 대하여 중앙에 위치한 파일의 외벽과 내벽에서 처올림 파의 증폭비를 원주 각도에 따라 그렸다. Fig. 10(a)는 불투과성 파일, Fig. 10(b)는 공극률이 0.1인 투과성 파일에 대한 결과이다. 파일의 투과성 여부와 관계없이 입사파가 직접 닿는 파일의 전면(π/2 ≤ θ ≤ 3π/2)에서 처올림 파의 증폭비(|η|/A)가 최대가 된다. 불투과성 재질인 경우 완전 반사로 파일 전면의 증폭비는 2.0에 가까운 값을 갖고, 파일의 후면(- π/2 ≤ θ ≤ π/2)에는 파가 통과하지 못해 0에 가까운 값을 갖는다. 투과성 재질인 경우 파일 외벽에서의 처올림 파의 증폭비는 부분 반사로 불투과성 파일보다 작은 값을 갖는다. 이는 월파를 줄여 방파제 배후 지역의 침수 및 구조물 파손을 예방하여 안전성을 향상시킨다. 투과성 파일 내벽에서의 처올림 파의 증폭비는 투과성 재질에 의한 부분 투과와 소파효과로 파일의 전면부는 줄어들고 후면부는 증가하여 원주 각도에 따른 변화가 크지 않고 전체적으로 고르게 분포한다.

Fig. 10

Non-dimensional wave run-up amplitude at the outer and inner surface of the centered impermeable and porous cylindrical pile for Ka = 0.5 and a = b.

Fig. 10과 동일한 조건에서 x축을 따른 파의 증폭비를 Fig. 11에 그렸다. Fig. 11의 x축은 파일의 반경으로 무차원화한 중심에서부터의 거리를 나타내고, y축은 파의 증폭비이다. Fig. 11(a)는 불투과성 원형 파일로, 파일의 전면부를 나타내는 영역(x/a < -1)에서 정상파의 특징을 뚜렷하게 확인할 수 있다. 투과성 원형 파일의 x축에 따른 파의 증폭비는 파일의 전면부(x/a < -1)에서는 투과성 파일의 부분 반사로 파의 증폭비가 0.5부터 1.5 범위내에서 진동하며 파일의 후면부(x/a > 1)에서는 파 증폭비가 0.5로 x축을 따라 일정하게 유지된다. 투과성 파일의 내부영역(-1 ≤ x/a ≤ 1)에서는 투과성 재질의 에너지 손실효과로 외부영역보다 낮은 파의 증폭비를 보여주고 있으며 외부와 내부가 만나는 투과 경계면에서 압력차(수위차)가 존재하며 이 압력차로 인해 투과성 재질을 통한 에너지 손실이 발생하고 압력차가 클수록 에너지 손실은 증가한다.

Fig. 11

Wave amplification factor (η/A) along the normalized distance (x/a) of the centered impermeable and porous cylindrical pile.

5. 결 론

불투과성 파일을 한 줄로 배열한 경우, 전면에서의 파의 증폭비는 완전 반사로 인해 0과 2 사이에서 진동하는 특징을 나타내었다. 그러나 투과성 파일을 배열한 경우, 일부 파는 파일을 통과하고 일부 파 에너지는 투과성 재질과 만나 와류 발생으로 소멸되어 파의 증폭비 범위가 0.6과 1.2 사이로 축소되었다. 투과성 파일의 외벽에서 무차원화된 파압의 최대값은 에너지 손실 효과로 인해 불투과성 파일과 비교하여 1/3로 크게 줄어들었다. 장주기 영역에서는 부분 반사 효과로 인해 불투과성 모델에서 나타난 2.0보다 작은 값에 수렴하였다. 선행 연구(Cho and Kim, 2008)와 본 실험결과를 바탕으로, 투과성 파일의 공극률이 0.1일 때 에너지 손실 계수가 가장 크며, 이 경우 파랑 하중의 최대값이 불투과성 원형 파일이 받는 파랑 하중의 1/2로 줄어들었다. 공극률이 감소하고 파장이 증가할수록, 파일에 작용하는 파랑 하중은 증가하였다. 또한 파일 간격이 증가하면 파일 간의 간섭 효과가 줄어들어 단일 파일의 파랑 하중 값에 수렴한다. 투과성 파일 외벽에서의 처올림 파의 증폭비는 불투과성 파일보다 작게 나타났다. 이는 월파의 감소로 이어져 방파제 배후 지역의 안정성을 향상시킨다. 투과성 파일 내벽에서의 처올림 파의 증폭비는 외벽과 비교하여 전면부에서는 줄어들고 후면부에서는 증가하여 원주 각도 변화에 따라 고르게 분포하였다. 특정 주기에서 축에 따른 파의 증폭비를 살펴본 결과, 파일 외부 영역에서의 증폭비는 내부 영역에서의 증폭비보다 크게 나타나 두 영역이 만나는 경계에서 불연속적인 압력 차이(수위 차이)를 보여주었다. 이 압력 차이로 인해 투과성 재질을 통한 에너지 손실이 발생하며, 압력 차이가 클수록 에너지 손실은 증가한다.

실험 결과와 해석해와 비교적 잘 일치하였다. 이는 해석 모델의 신뢰성과 투과성 재질을 통한 에너지 손실을 나타내는 경험식의 타당성을 확인해 주었다. 그러나 두 결과 간의 비교는 파장에 비해 파고가 낮은 선형 조건이라는 가정 하에서 이루어졌기 때문에, 입사파의 파고가 증가할 경우 비선형 효과로 인해 정량적 차이가 발생할 수 있다. 따라서 점성과 비선형성을 모두 포함한 수치 모델이 필요하다. 그러나 제한된 적용 범위에도 불구하고, 개발된 해석 모델은 투과성 파일 방파제의 성능에 영향을 미치는 다양한 설계 인자의 중요성을 파악하고 설계 범위를 제한함으로써 투과성 파일 방파제의 초기 설계에 귀중한 정보를 제공할 수 있을 것이다.

Notes

감사의 글

이 논문은 2022년도 교육부의 재원으로 한국연구재단 기초연구사업의 지원을 받아 수행된 연구임(NRF-2022R1I1A3066608).

References

Anuar N.M., Sidek F.J.. 2010;The use of perforated pile breakwaters to attenuate waves. Malaysian Journal of Civil Engineering 22(1):152–170.
Anuar N.M., Sidek F.J.. 2012;Wave characteristics around perforated piles in a two rows arrangement. Malaysian Journal of Civil Engineering 24(1):48–66.
Cho I.H., Koh H.J.. 2007;Reflection and transmission coefficients by a circular pile breakwater. Journal of Korean Society of Coastal and Ocean Engineers 19(1):38–44. (in Korean).
Cho I.H.. 2003;On an analysis of reflection coefficients by a partially immersed slotted plate with a back wall. Journal of Korean Society of Coastal and Ocean Engineers 15(3):143–150. (in Korean).
Cho I.H., Kim M.H.. 2008;Wave absorbing system using inclined perforated plates. Journal of Fluid Mechanics 608:1–20.
Evans D.V., Porter R.. 1999;Trapping and near-trapping by arrays of cylinders in waves. Journal of Engineering Mathematics 35(1):149–179.
Feichtner A., Tabor G., Mackay E., Thies P., Johanning L.. 2020;On the use of a porous-media approach for the modelling of wave interaction with thin perforated cylinders. The 15th OpenFOAM Workshop (OFW15), Online
Fugazza M., Natale L.. 1992;Hydraulic design of perforated breakwaters. Journal of Waterway, Port, Coastal, and Ocean Engineering 118(1):1–14.
Han H.J., Kim W.S., Cho I.H.. 2024;Wave pressure and wave height distribution around seawall structure constructed by an array of TSP circular piles. Journal of Korean Society of Coastal and Ocean Engineers 36(4):129–137. (in Korean).
Kakuno S., Liu P.L.F.. 1993;Scattering of water waves by vertical cylinders. Journal of Waterway, Port, Coastal, and Ocean Engineering 119(3):302–322.
Kakuno S., Nakata Y.. 1998;Scattering of water waves by rows of cylinders with/without a backwall. Applied Ocean Research 20(4):191–198.
Kim M.H.. 1993;Interaction of waves with N vertical circular cylinders. Journal of Waterway, Port, Coastal, and Ocean Engineering 119(6):671–689.
Koraim A.S.. 2015;Mathematical study for analyzing caisson breakwater supported by two rows of piles. Ocean Engineering 104:89–106.
Linton C.M., Evans D.V.. 1990;The interaction of waves with arrays of vertical circular cylinders. Journal of Fluid Mechanics 215:549–569.
MacCamy R.C., Fuchs R.A.. 1954. Wave forces on piles: a diffraction theory (No. 69) US Beach Erosion Board. Washington D.C:
Maniar H.D., Newman J.N.. 1997;Wave diffraction by a long array of cylinders. Journal of Fluid Mechanics 339:309–330.
Mansard E.P.D., Funke E.R.. 1980;The measurement of incident and reflected spectra using a least squares methods. Coastal Engineering Proceedings 17:154–172.
Mojtahedi A., Beiragh M.S., Farajpour I., Mohammadian M.. 2020;Investigation on hydrodynamic performance of an environmentally friendly pile breakwater. Ocean Engineering 217:107942.
Nagai S.. 1966. Researches on steel-pipe breakwaters. Coastal Engineering 1966, American Society of Civil Engineers Tokyo, Japan: p. 850–872.
Nejadkazem O., Gharabaghi A.R.M.. 2012;Mathematical model for hydrodynamic behavior of an array of vertical cylindrical piles used as a breakwater. Journal of Coastal Research 28(6):1446–1461.
Park M.S.. 2020;Characteristics of wave by additional installation of porous dual circular caissons on the existing breakwater. Journal of Korean Society of Coastal and Ocean Engineers 32(6):396–410. (in Korean).
Rao N., Rao P.S.B., Nayak K., Pal S.K., Sathyanarayana A.H., Suvarna P., Umesh P.. 2019. Numerical investigation on wave transmission characteristics of perforated and non-perforated pile breakwater. Journal of Physics: Conference Series IOP Publishing. Dubai, U.A.E: 1276(1)p. 012021.
Suh K.D., Kim Y.W., Ji C.H.. 2011;An empirical formula for friction coefficient of a perforated wall with vertical slits. Coastal Engineering 58(1):85–93.
Yoon S.B., Lee J.I., Nam D.H., Kim S.H.. 2006;Energy loss coefficient of waves considering thickness of perforated wall. Journal of Korean Society of Coastal and Ocean Engineers 18(4):321–328. (in Korean).
Zhu S., Chwang A.T.. 2001;Investigations on the reflection behaviour of a slotted seawall. Coastal Engineering 43(2):93–104.

Article information Continued

Fig. 1

Definition sketch of an in-line array of cylindrical porous piles.

Fig. 2

Schematic diagram of the overall experimental setup and photographs of the installed model and instrumentation.

Fig. 3

Amplification factor (η/A) at wave probes #1, #2, and #3 in front of the impermeable pile model.

Fig. 4

Non-dimensional pressure (|p|/ρgA) at the outer surface (A, B) of the impermeable pile model.

Fig. 5

Amplification factor (η/A) at wave probes #1, #2, and #3 in front of the porous pile model.

Fig. 6

Non-dimensional pressure (|p|/ρgA) at the surface (A, E) of the porous pile model.

Fig. 7

Schematic diagram of an in-line array of cylindrical porous piles and amplification factor measurement locations (h/a = 5, a = b).

Fig. 8

Wave amplification factor (η/A) at positions #1, #2, and #3.

Fig. 9

Non-dimensional wave loads on the impermeable and porous cylindrical pile as function of b/a and P.

Fig. 10

Non-dimensional wave run-up amplitude at the outer and inner surface of the centered impermeable and porous cylindrical pile for Ka = 0.5 and a = b.

Fig. 11

Wave amplification factor (η/A) along the normalized distance (x/a) of the centered impermeable and porous cylindrical pile.

Table 1

Incident wave settings and wave parameters through wave separation

Incident wave period (s) Wave separation

Impermeable pile Porous pile


Incident wave height (cm) Reflected wave height (cm) Reflection Coefficient (−) Incident wave height (cm) Reflected wave height (cm) Reflection Coefficient (−)
0.5 0.10 0.12 1.20 0.13 0.06 0.46
0.6 0.12 0.19 1.58 0.16 0.07 0.44
0.7 0.29 0.27 0.93 0.26 0.05 0.19
0.8 0.34 0.34 1.00 0.32 0.12 0.38
0.9 0.46 0.48 1.04 0.37 0.03 0.08
1.0 0.59 0.59 1.00 0.48 0.04 0.08
1.1 1.58 1.56 0.99 0.57 0.04 0.07
1.2 0.89 0.90 1.01 0.74 0.20 0.27
1.3 0.66 0.65 0.98 0.69 0.19 0.28
1.4 0.32 0.32 1.00 0.56 0.09 0.16
1.5 0.26 0.28 1.08 0.65 0.06 0.09
1.6 0.10 0.19 1.90 0.64 0.00 0.00
1.7 0.20 0.26 1.30 0.79 0.09 0.11
1.8 0.22 0.28 1.27 0.83 0.12 0.14
1.9 0.27 0.32 1.19 0.91 0.21 0.23