1. 서 론
실험실에서 자연에서 발생하는 파랑과 유사한 파를 재현하기 위해 다양한 조파장치들이 개발되어 사용되고 있다. 대표적으로는 피스톤(piston)형, 힌지(hinge)형, 플런징(plunging)형 등이 있다. 피스톤형은 수심에 관계없이 동일한 유속을 발생시키므로 천해파(shallow water waves)의 생성에 적합하다. 힌지형은 수심이 깊어질수록 약한 유속을 발생시키므로 중간수심(intermediate water depth)의 파랑 재현에 적합하다. 플런징형은 수면에서 유속을 발생시키므로 심해파(deep water waves)의 재현에 적합하다. 반면 바닥조파기의 경우 바닥에서 유속을 발생시키므로 천해파의 재현에 유리하다. 최근에는 Jung et al.(2023)이 바닥조파기(bottom wave maker)가 피스톤형보다 파장이 긴 장파의 생성에 더욱 유리함을 밝혔다.
바닥조파기에 대한 연구는 Hammack(1973)에 의해 처음 수행되었다. Hammack(1973)은 지진해일의 생성 및 전파 특성을 연구하기 위해 평평한 바닥이 순간적으로 움직이는 경우 생성되는 파랑에 대한 선형의 해석해를 제시하고, 실험을 통해 검증하였다. 이 후 Jamin et al.(2015)이 원형의 3차원 수조에서 평평한 원형의 바닥조파기를 이용한 파랑 생성에 대해 연구하였다. 그들은 Hammack(1973)과 마찬가지로 순간적인 바닥의 움직임에 따른 파랑 생성의 3차원적인 특성에 대해 선형의 해석해를 제시하고, PIV(particle image velocimetry)를 이용한 실험을 통해 검증하였다. Lu et al.(2017)은 경사 바닥 조파기(bottom tilting wave maker)를 최초로 제안하였으며, 선형의 해석해를 제시하고 Boussinesq 방정식 및 실험을 통해 경사 바닥 조파기에 의해 재현되는 파랑의 비선형적인 특성에 대해 연구하였다. Reeve et al.(2024)은 서로 연결된 평평한 바닥조파기 2기를 이용하여 각각의 바닥조파기가 서로 반대방향으로 움직이는 경우 생성되는 파랑에 대해 해석해를 제시하고, PIV를 이용한 실험을 통해 검증하였다. 하지만, 바닥조파기를 이용한 대부분의 과거 연구들은 지진해일과 유사한 파랑 재현을 위해 바닥조파기가 순간적으로 움직이는 경우 생성되는 파랑 연구에 국한되었다.
바닥조파기를 이용하여 규칙파를 생성하는 연구는 Jung et al.(2018)에 의해 최초로 수행되었는데, 그들은 삼각형 형상의 바닥조파기에 의해 생성되는 파랑에 대한 해석해를 제시하고 완경사방정식과 비교하여 검증하였다. Mahjouri et al.(2021)은 고유함수전개법을 이용하여 삼각형 및 사각형 형상의 바닥조파기에 의한 규칙파 재현을 검토하였다. 이후 완경사방정식이나 해석해 등을 이용한 2차원 수로 및 3차원 수조에서 바닥조파기에 의한 규칙파 생성에 대한 연구들이 수행되었다(Jung and Lee, 2022; Jung et al., 2023; Jung and Lee, 2024, Mahjouri et al., 2024; Jung et al., 2025). 그리고, 이들은 바닥조파기를 이용할 경우 구조물로부터 발생한 반사파가 조파판에서 재반사되는 현상도 방지할 수 있음을 밝혔다.
이들 연구 중 Mahjouri et al.(2024)은 실험 대상 구조물을 조파기로부터 특정 거리에 설치할 경우 반사파와 바닥조파기에 의해 생성된 파랑의 위상 차이에 의해 반사파가 완전히 사라지게 할 수 있음을 보였다. 다만, 그들은 반사파를 완전히 제어할 수 있는 구조물 위치를 일반화 하지 못하였다. 또한, 그들은 부분반사가 발생하는 경우나 불규칙파에 대해서는 검토결과를 제시하지 않았다. 본 연구에서는 간단한 해석을 통해 바닥조파기가 설치된 수로에서 반사파를 최소화 할 수 있는 직립 구조물의 위치를 일반화하여 제시한다. 또한, 바닥조파기를 기준으로 구조물이 설치된 반대쪽 수로에서 구조물 설치 위치에 따른 반사파와 생성파가 합성된 파랑의 진폭에 대해서도 일반식을 제시한다. 구조물에서의 반사율의 영향과 불규칙파에 대해서도 간단한 검토를 수행하였다.
2. 반사파 제어를 위한 구조물 위치의 일반화
일반적으로 바닥조파기를 사용하여 조파할 경우 바닥조파기의 양쪽 방향으로 파랑이 생성되어 전파한다. Fig. 1과 같이 수로 중앙의 조파기에서 파랑이 양방향으로 생성되어 전파할 때 조파수로의 왼쪽 끝단에는 소파장치(sponge layer)를 설치하여 파랑의 반사가 발생하지 않도록 하여야 한다. 하지만 소파장치만으로는 반사파를 충분히 제어하기 어렵다. 또한, 수로의 오른쪽에 설치된 구조물에서 반사된 파랑이 바닥조파기를 지나 수로의 왼쪽으로 전파할 경우, 바닥조파기에 의해 생성된 파랑과 반사파가 중첩되어 더욱 큰 파랑이 수로 왼쪽부분에서 발생할 수 있다. 하지만, 바닥조파기의 위치를 잘 조정하면 바닥조파기 왼쪽에서 생성된 파랑과 구조물로부터의 반사파가 서로 상쇄될 수도 있다. 즉, 구조물의 위치를 조정하여 반사파와 조파된 파가 합성된 파의 파고를 최소화하면 수로 왼쪽에 설치된 소파장치를 통해 재반사를 최소화할 수 있으며, 이는 수리 실험의 정확도 향상에 도움이 될 것이다.
조파수로에 구조물이 설치된 경우 부분반사 조건에서 바닥조파기에 의해 생성된 파랑과 구조물로부터 반사된 파랑의 합성파는 다음과 같다.
여기서, a는 입사파의 진폭, η는 자유수면변위, ω는 각 진동수, k는 파수, R은 구조물에서의 반사계수, D는 조파기 중앙으로부터 구조물까지 떨어진 거리, h는 수심, 그리고 g는 중력가속도를 뜻한다. 완전반사 조건인 R = 1이라 가정하면, 조파수로 왼쪽 영역에서 조파기에 의해 생성된 파랑과 구조물로부터 반사된 파랑이 서로 상쇄되는 조건은 각 파랑의 위상 차이가 (2n + 1)π일 때이다. 반대로 위상차이가 2nπ일 때에는 파랑의 합성에 의해 더욱 증폭된다. 즉, 다음과 같은 관계식이 성립할 때, 구조물이 설치된 반대쪽 수로에서 파랑은 완전히 사라지게 될 것이다.
3. 제안식의 타당성 검토
바닥조파기로부터 특정 거리에 구조물을 설치할 경우 구조물로부터의 반사파와 바닥조파기에 의해 생성된 파가 상쇄될 수 있다는 사실은 Mahjouri et al.(2024)에 의해 처음 제시되었다. 그들은 이 현상을 선형 이론에 기초한 고유함수전개법과 상업용 전산유체역학 모델인 ANSYS CFX를 이용하여 해석하였다. Mahjouri et al.(2024)은 완전반사 조건에서 구조물을 특정 지점에 위치시키면 반사파와 바닥조파기에 의해 생성되는 파랑의 중첩에 의해 진폭이 거의 0이 된다는 사실은 확인하였지만, 진폭이 0이 되는 거리에 대한 일반 해는 제시하지 못하였다. 본 장에서는 본 연구에서 제시하는 일반화된 제안식의 타당성 검증을 위해 Mahjouri et al.(2024)의 수치해석 결과와 비교하였다.
식(1)에서 x < 0인 경우의 자유수면변위(η)를 삼각함수의 합차 공식을 이용하여 정리하면 다음 식과 같다.
여기서,
Mahjouri et al.(2024)은 수심 1.0 m인 수로에 폭 2.0 m의 바닥조파기를 이용하여 1.5초 주기의 파랑을 조파하였다. 조파된 파랑의 파장(L)은 1.0m 수심에서 3.35 m이다. Mahjouri et al.(2024)의 해석 조건과 동일한 조건에서 식(6)을 이용하여 예측한 결과와 Mahjouri et al.(2024)의 해석결과를 Fig. 2에서 비교하였다. Fig. 2에서 수평축은 바닥조파기 끝단으로부터 구조물 전면 사이의 거리를 나타내며, 수직축은 합성파의 진폭을 뜻한다. 본 연구에서 예측한 결과와 Mahjouri et al.(2024)의 해석 결과는 거의 일치함을 그림에서 확인할 수 있다. Fig. 2에서 약 9.2 m에서 진폭이 최소가 되는데, 이는 D = (11/4)L에 해당하며, 파랑이 상쇄되는 조건이다. 그리고, 8.4 m에서 진폭이 최대가 되는데, 이는 D = (10/4)L에 해당하며, 파랑이 증폭되는 조건이다. 즉, 본 연구에서 제시하는 예측식이 타당함을 알 수 있다.
4. 규칙파에 대한 수치실험
4.1 완전반사 조건
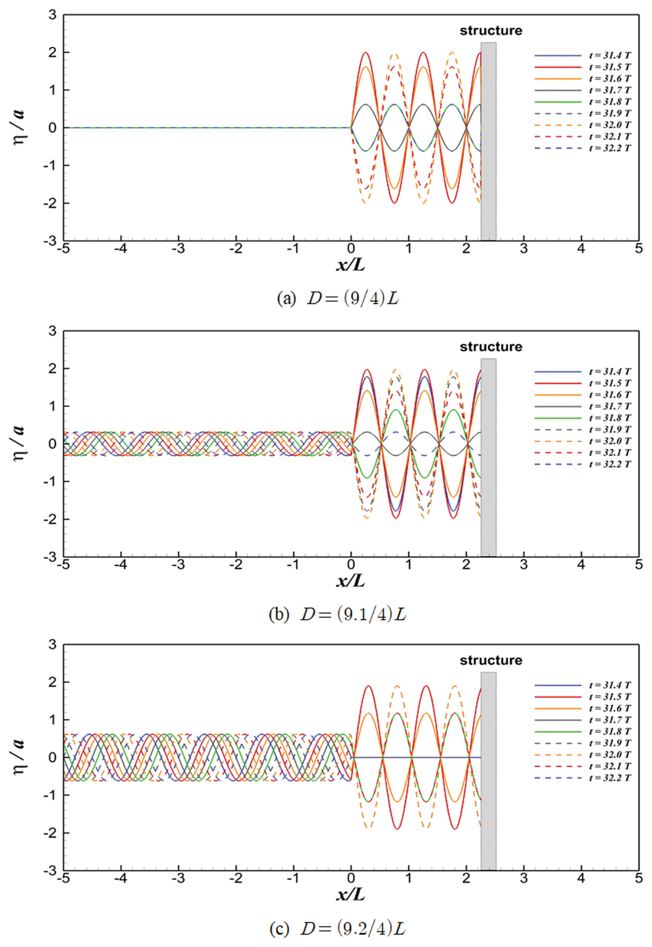
구조물 위치에 따른 파랑 형상을 구체적으로 확인하기 위해 식(1)을 이용한 간단한 수치실험을 수행하였다. 실험조건은 완전반사 조건으로 반사율 R = 1을 적용하였다. 수치해석을 위해 수심(h)는 1 m, 파랑의 파장(L)은 5 m, 진폭(a)은 0.1 m로 설정하였으며, 바닥조파기는 50 m 길이의 수로 중앙에 위치한다. 먼저 n = 5이고, D = (11/4)L일 때의 경우에 대해 검토하였다. 시간(t)은 충분히 파랑이 발달한 30T 이후에 대해 해석하였다. 검토 결과는 Fig. 3과 같다. 그림에서 x/L이 0보다 큰 영역에서는 완전반사가 발생하고, x/L이 0보다 작은 영역에서는 파랑이 완전히 상쇄되는 것을 확인할 수 있다.
반사파와 바닥조파기에 의해 생성되는 파랑이 증폭되는 경우인 D = (10/4)L인 경우에 대해 검토하였다. 해석 결과는 Fig. 4와 같으며, x/L ≥ 0인 구간에서는 파랑의 완전반사가 발생하고, x/L ≤ 0인 구간에서는 구조물에서의 반사파와 바닥조파기에 의해 생성된 파랑의 위상이 일치하여 최대 |η/a|가 2까지 증폭됨을 볼 수 있다.
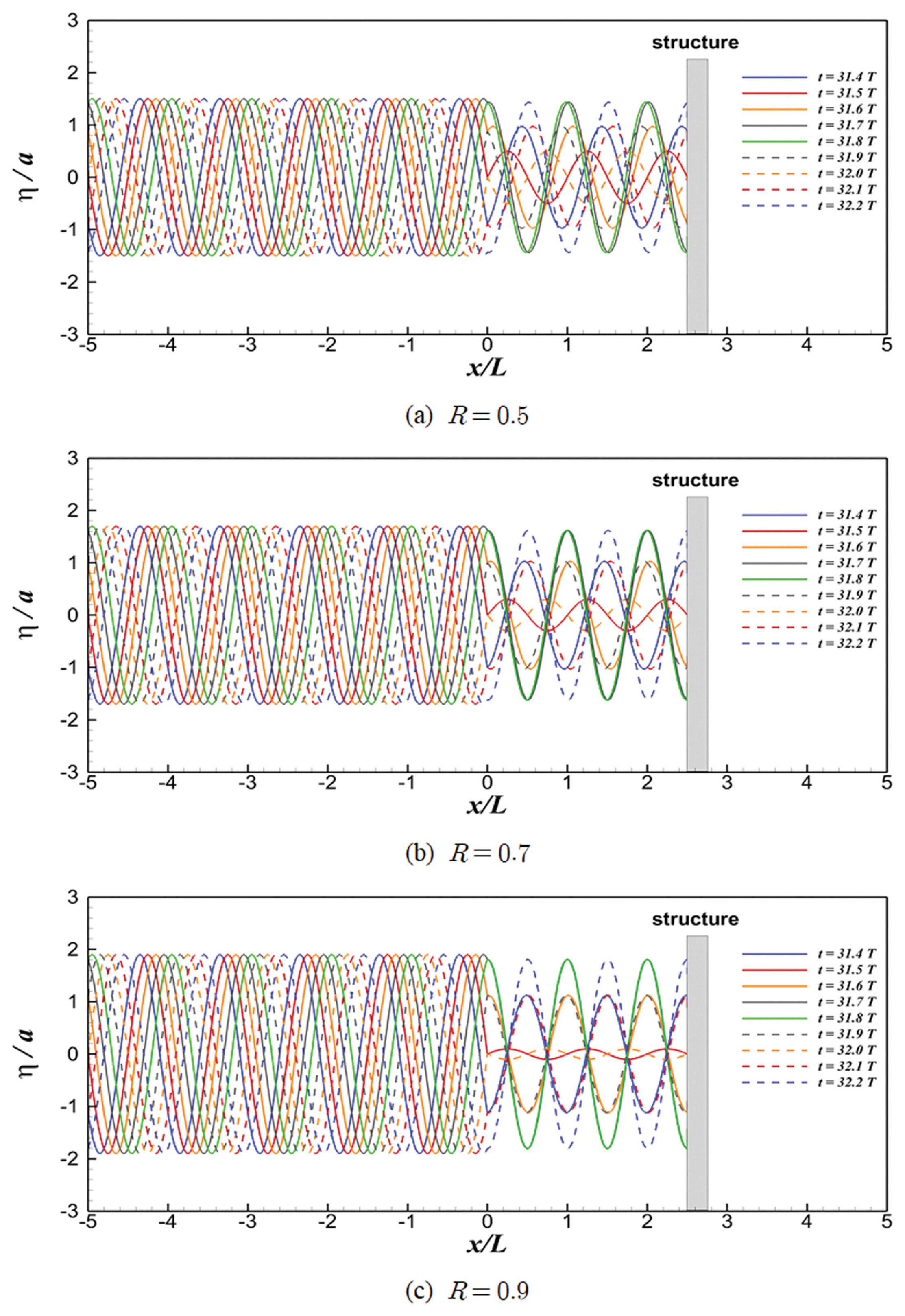
Fig. 5에서는 다양한 구조물 위치에서 검토하였다. 먼저 Fig. 5(a)는 n = 4이고, D = (9/4)L인 경우로 완전히 상쇄되는 조건이다. Fig. 3과 마찬가지로 x/L ≤ 0인 구간에서 파랑이 완전히 상쇄되는 것을 볼 수 있다. Fig. 5(b)는 D = (9.1/4)L인 경우이다. 완전상쇄 조건에 가깝기 때문에 x/L ≤ 0인 구간에서 최대 |η/a|가 0.3으로 나타났다. Fig. 5(c)는 D = (9.2/4)L인 경우로 완전히 상쇄되는 조건과 Fig. 5(b)보다 조금 먼 조건이다. 따라서, x/L ≤ 0인 구간에서 최대 |η/a|가 0.6으로 나타났다.
4.2 부분반사 조건
구조물에서 일부 파랑에너지가 흡수될 경우 반사파의 진폭은 입사파의 진폭보다 작다. 이와 같은 부분반사 조건에 대해서도 검토하였다. 식(1)에서 반사율(R)을 임의로 조정하면서 해석하였다. 먼저 D = (9/4)L인 조건에서 반사율이 0.5, 0.7 및 0.9인 경우에 대해 검토하였다. 검토결과는 Fig. 6과 같다. 먼저 R = 0.5인 경우 파랑의 진폭이 50% 상쇄되어 상대진폭(a/η)이 0.5인 파랑이 좌측으로 전파하는 것으로 나타났으며, 구조물 전면에서는 상대진폭이 1.5로 검토되었다. 반사율 R = 0.7인 경우에는 70% 상쇄되어 상대진폭이 0.3인 파랑이 좌측으로 전파하였으며, 구조물 전면에서 상대진폭은 1.7로 검토되었다. 반사율 R = 0.9인 경우에는 90% 상쇄되어 상대진폭이 0.1인 파랑이 좌측으로 전파하였으며, 구조물 전면에서 상대진폭은 1.9로 계산되었다. 파랑이 상쇄되는 조건에서는 반사율이 작을수록 수로 좌측으로 전파하는 파랑의 진폭은 크게 검토되었다.
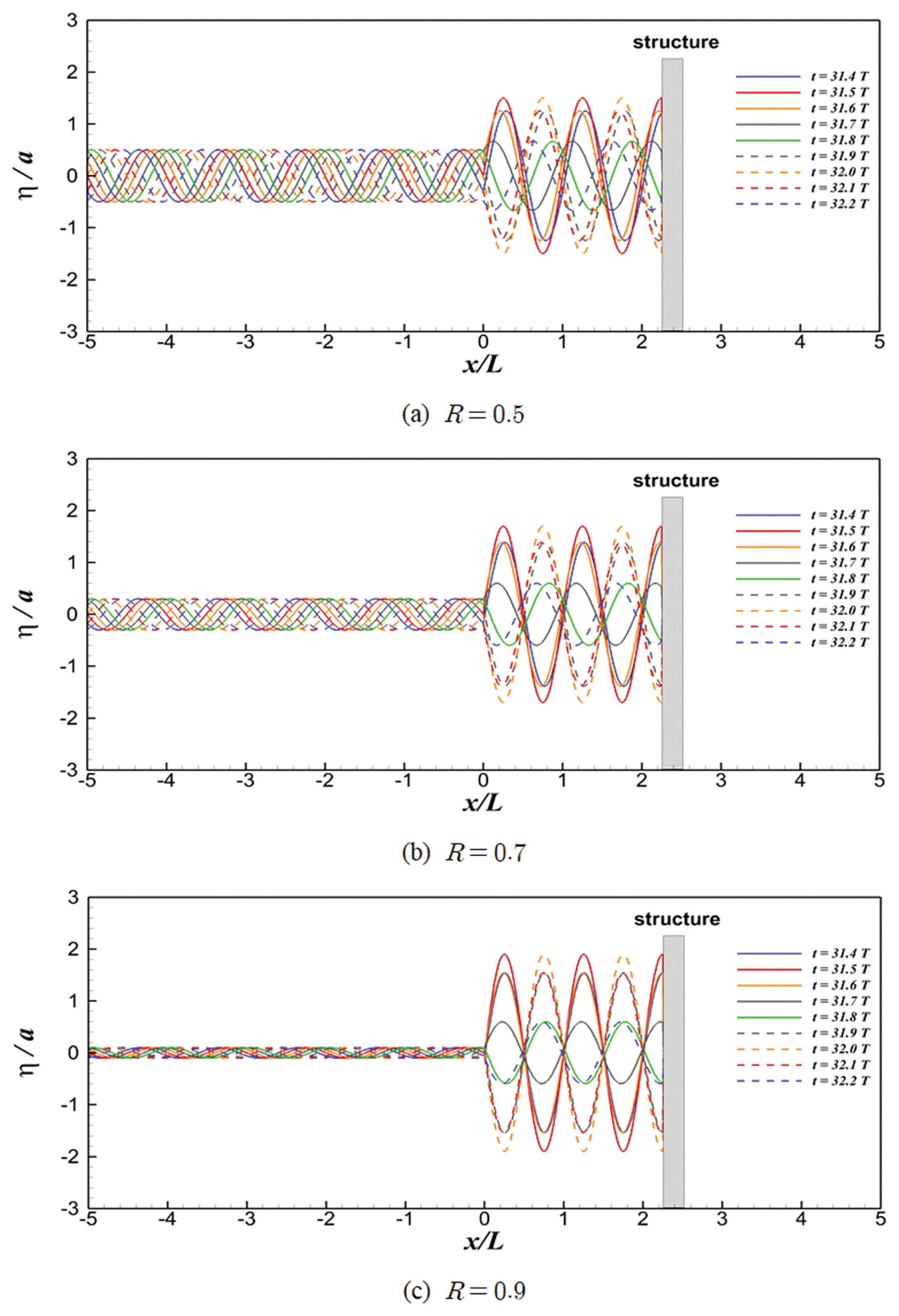
파랑이 증폭되는 경우에 대해서도 검토하였다. 구조물 위치가 D = (10/4)L인 조건에서 검토하였으며, 그 결과는 Fig.7과 같다. 반사율 R = 0.5인 경우 구조물 전면 및 좌측으로 전파하는 파랑의 상대진폭은 모두 1.5로 계산되었다. 반사율 R = 0.7인 경우에는 수로 전체에 걸쳐 상대진폭은 1.7로 계산되었으며, 반사율 R = 0.9인 경우에는 상대진폭이 1.9로 계산되었다. 파랑이 증폭되는 경우에는 반사율이 클수록 파랑의 상대진폭은 크게 검토되었다.
5. 불규칙파에 대한 수치실험
본 절에서는 불규칙파를 대상으로 검토를 수행하였다. Jung et al.(2023)은 바닥조파기를 이용하여 불규칙파의 조파가 가능함을 보였다. 또한, Tran and Lee(2024)는 Boussinesq 방정식을 이용하여 바닥조파기를 통한 불규칙파의 비선형성에 대해서도 연구하였다. 이와 같이 바닥조파기를 이용한 불규칙파의 재현이 가능하기 때문에, 불규칙파를 대상으로도 구조물 위치에 따른 파랑제어 효과에 대해 검토하였다. 불규칙파 조건에서 바닥조파기에 의해 생성된 파랑과 구조물에서 반사된 파랑의 합성파는 다음 식과 같다.
여기서, n은 각 주파수 성분의 구분을 위한 기호이며, N은 해석을 위한 최대 주파수 성분을 의미한다. λn은 각 주파수 성분에 대한 임의의 위상(random phase)이다. 각 주파수 성분의 각진동수(ωn) 및 파수(kn)는 식(9)와 같은 분산관계식을 만족한다.
불규칙파에 대한 검토를 위한 주기 스펙트럼으로 JONSWAP 스펙트럼을 이용하였다. JONSWAP 스펙트럼은 다음 식과 같다(Hasselmann et al., 1973).
여기서, S(f)는 에너지 밀도 스펙트럼, H1/3은 1/3 파고, T1/3은 H1/3에 해당하는 파랑의 주기, Tp는 첨두 주기, f는 주파수, γ는 첨두상승계수(peak enhancement factor)를 각각 뜻한다.
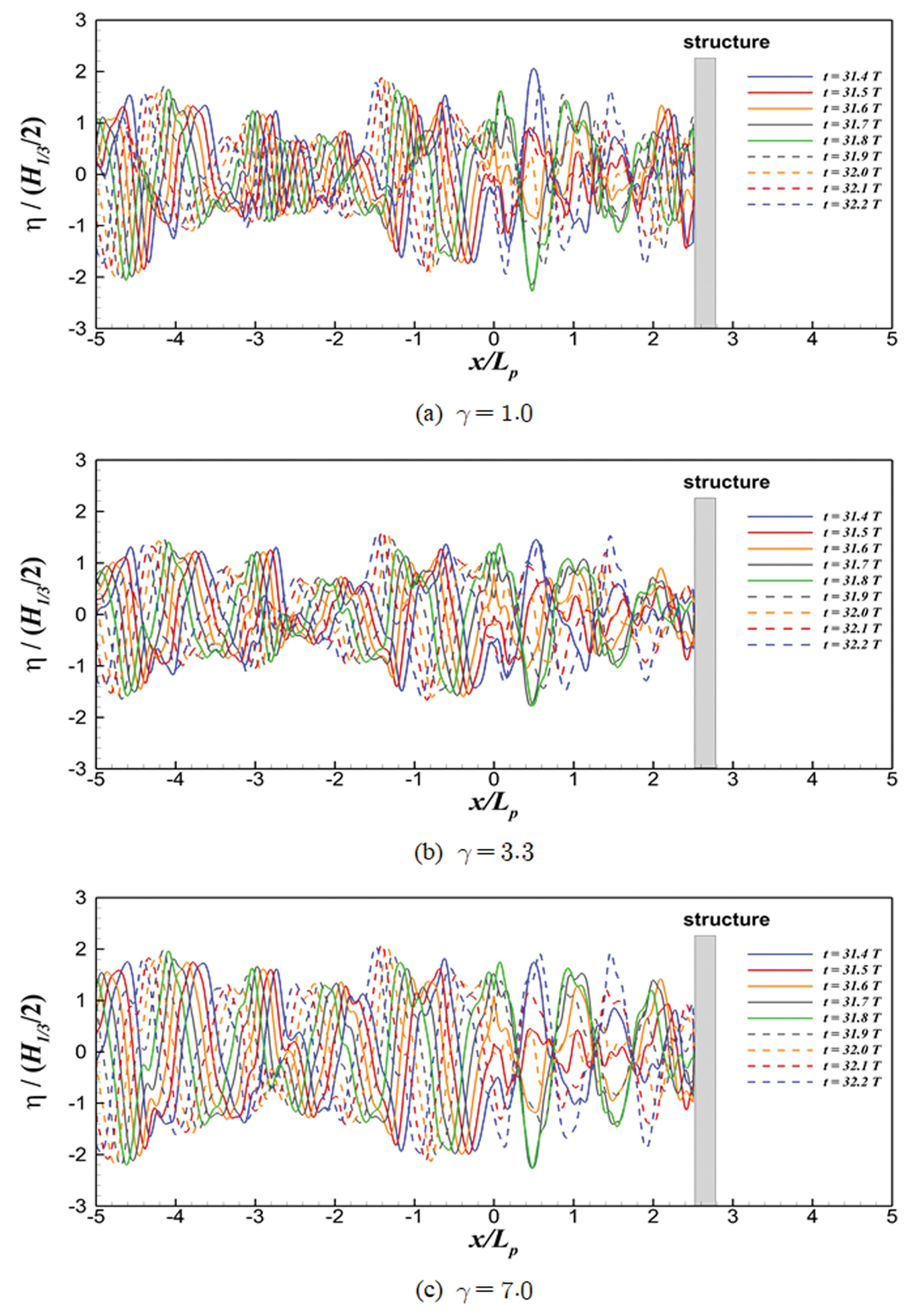
수치해석을 위한 조건은 4.1절과 동일하며, 첨두주기(Tp)는 0.5152 s로 1 m 수심에서 5.0 m 파장을 갖는 파랑에 해당한다. H1/3은 0.1 m로 가정하였다. 불규칙파는 f = 0에서 f = 3fp의 주파수 범위에서 15개의 규칙파로 분해하여 해석하였다. 첨두상승계수 γ는 1.0, 3.3 및 7.0인 경우에 대하여 검토하였다. 불규칙파랑 검토를 위한 에너지 밀도 스펙트럼은 Fig. 8과 같다.
먼저 규칙파에서 합성파의 진폭이 최소가 되는 조건인 D = (11/4)L인 위치에 구조물이 설치된 경우에 대해 검토하였다. 검토 결과는 Fig. 9와 같은데, 무차원 자유수면변위를 나타내는 수직축은 규칙파의 결과와 일관성을 유지하기 위해 H1/3/2로 무차원화 하였다. Fig. 9의 수평축에서 Lp는 첨두 주파수에 해당하는 파랑 성분의 파장을 뜻한다. 검토결과 전반적으로 파랑의 상대진폭이 1.0 내외로 나타나 반사파 제어 효과가 일부 있는 것으로 나타났다. 불규칙파의 경우 H1/3로 무차원화 하였는데, 최대파고(Hmax)는 H1/3의 1.6~2.0배에 이르므로 규칙파에 비해 상대적으로 자유수면변위의 진폭이 크게 나타난다. 첨두상승계수(γ)가 7.0으로 가장 큰 경우 구조물 반대쪽 수로에서 자유수면변위의 진폭은 상대적으로 작은 것으로 나타났는데, 이는 첨두상승계수가 클수록 하나의 주파수 성분으로 파랑 에너지가 집중되어 규칙파와 비교적 유사한 거동을 보이기 때문이다. 반면 모든 주파수에 파랑 에너지가 비교적 고르게 분포하는 γ = 1.0인 경우에는 반사파 제어효과가 상대적으로 약한 것으로 분석되었다.
규칙파에서 합성파의 진폭이 최대가 되는 조건인 D = (10/4)L인 위치에 구조물이 설치된 경우에 대해 검토하였다. 검토 결과는 Fig. 10과 같다. 합성파의 진폭이 최소가 되는 조건(D = (11/4)L)인 Fig. 9에 비해 구조물 반대쪽에서 진폭이 상대적으로 크게 나타났다. 합성파의 진폭이 최대가 되는 조건에서는 최소가 되는 조건과는 반대로 γ = 1.0인 경우 구조물 반대쪽 수로에서 진폭이 상대적으로 작게 나타났으며, γ = 7.0인 경우에는 규칙파와 유사하게 파랑이 크게 증폭하는 현상을 보였다.
구조물의 위치에 따른 합성파의 진폭을 정량적으로 검토하기 위해 식(6)을 불규칙파 영역으로 확장할 수 있다. 불규칙파의 n번째 주파수 성분에 대해 x < 0인 영역에서 합성파의 진폭은 다음 식과 같이 표현된다.
여기서, An은 구조물이 x = D에 위치할 때, 구조물 반대쪽 수로에서 불규칙파의 n번째 주파수 성분에 해당하는 합성파의 진폭이다. 식(13)과 다음 식을 이용하여 구조물 위치에 따른 합성파의 1/3 파고((H1/3)S)를 계산할 수 있다.
구조물의 위치에 따른 합성파의 상대진폭(규칙파) 및 상대파고(불규칙파)에 대한 검토 결과는 Fig. 11에 나타내었다. Fig. 11(a)는 완전반사 조건에 대한 결과이며, Fig. 11(b)는 반사율이 0.5인 조건의 결과이다. 먼저 Fig. 11(a)에서 규칙파는 D / L p = 2 n + 1 4 인 조건에서 합성파의 상대진폭은 0이 되었으며, D / L p = 2 n 4 인 조건에서 합성파의 상대진폭은 증폭되어 2.0이 되었다. 불규칙파의 경우 γ = 7.0인 경우에는 규칙파와 유사하게 D / L p = 2 n + 1 4 에서 합성파의 상대파고가 최소가 되고, D / L p = 2 n 4 에서 최대가 되었다. 반면 γ = 1.0인 경우에는 γ = 7.0인 경우와 전반적으로 유사한 패턴을 보이지만 D / L p = 2 n + 1 4 이나 D / L p = 2 n 4 인 조건에서 합성파의 상대파고가 정확하게 최소가 되거나 최대가 되지는 않았다. 이는 앞서 설명한 바와 같이 γ = 7.0인 경우는 파랑이 하나의 주파수성분에 에너지가 비교적 집중되어 분포하기 때문에 규칙파와 유사한 특성을 보인다. γ = 3.3인 경우에도 D / L p = 2 n + 1 4 인 경우 상대파고가 대부분 1.0 이하로 나타나 파랑 감소효과가 나타남을 알 수 있다. 불규칙파의 경우 γ에 관계없이 D / L p = 2 n 4 인 조건에서는 상대파고가 대부분 2.0 근처까지 상승하였다. 따라서, 불규칙파의 경우에도 반사파를 제어하기 위해서는 구조물을 D / L p = 2 n 4 위치를 피하고, 가급적 D / L p = 2 n + 1 4 인 위치에 설치하여야 할 것으로 보인다.
반사율(R)이 0.5인 경우에 대한 검토 결과는 Fig. 11(b)와 같다. 규칙파의 경우 반사율이 0.5이므로 D / L p = 2 n + 1 4 인 위치에서 상대진폭은 0.5로 감소하였으며, D / L p = 2 n 4 인 위치에서 1.5로 증폭하였다. 불규칙파의 경우에도 규칙파와 유사한 변화 패턴을 보였으며, Fig. 11(a)와 마찬가지로 γ = 7.0인 경우 규칙파와 가장 유사한 결과를 보였다.
6. 결 론
바닥조파기가 설치된 수로에서 직립식 구조물로부터 반사된 파랑의 제어를 위한 구조물 위치에 대해 검토하였다. 검토 결과 구조물의 위치가 바닥조파기로부터 (2n + 1)/4 파장의 거리로 떨어져 있는 경우 반사파와 바닥조파기에 의해 생성되는 파랑에서 (2n + 1)π만큼 위상 차이가 발생하여 완전히 상쇄되었다. 반면, 구조물의 위치가 바닥조파기로부터 2n/4 파장의 거리로 떨어져 있는 경우 반사파와 바닥조파기에 의해 생성되는 파랑의 위상이 일치하여 진폭이 2배 증폭되었다.
구조물에서 부분반사가 발생하는 조건에 대해서도 검토하였다. 부분반사가 발생하는 조건에서도 구조물이 (2n + 1)/4 파장의 거리에 위치하는 경우 파랑이 상쇄되었으며, 2n/4 파장의 거리에 위치하는 경우에는 증폭되었다. 하지만, 부분반사 조건에서는 파랑이 완전히 상쇄되지는 않았다. 따라서, 일부 상쇄된 파랑은 수로 좌측 끝단에 흡수층을 설치하여 재반사를 최소화 할 필요가 있다.
불규칙파 조건에서도 규칙파와 유사한 경향이 나타났다. 구조물이 (2n + 1)/4 파장의 위치에 있을 때 파랑 상쇄가 관측되었고, 2n/4 파장의 위치에서는 증폭이 발생하였다. 첨두상승계수(γ)가 1.0인 경우에는 다양한 주파수 성분이 혼재하여 상쇄 현상이 뚜렷하지 않았으나, γ = 7.0인 경우에는 규칙파와 유사한 상쇄 현상이 나타났다. 따라서, 불규칙파 실험에서도 구조물은 (2n + 1)/4 파장의 위치에 설치함이 바람직하다. 다만, 첨두상승계수(γ)가 작은 경우(다양한 주파수 성분이 혼재하는 경우)에는 구조물 위치에 따른 합성파의 파고 변화가 뚜렷하지 않아 반사파 제어에 한계가 있음을 보였다.
이상의 결과들을 종합해 보면, 바닥조파기가 설치된 수로에서 구조물을 바닥조파기로부터 (2n + 1)/4 파장 떨어진 위치에 설치할 경우 조파파와 반사파가 상쇄되어 수로 반대쪽에서 발생하는 재반사를 효과적으로 최소화할 수 있다. 하지만, 구조물에서 반사율이 낮거나 불규칙파의 경우에는 합성파의 파고가 크게 감소하지 않았으므로 향후에는 이에 대한 연구가 추가로 수행되어야 할 것으로 생각된다. 본 연구에서 제시한 구조물 배치조건은 바닥조파기를 이용한 수로 실험에서 반사파에 의한 교란현상을 억제하는 데 유용한 기준으로 활용될 수 있을 것이다.









